jcedernaes.bsky.social
@jcedernaes.bsky.social
(9/9) Big thanks to co-authors including my PhD candidate Anastasia Grip, and our fantastic collaborators at Uppsala university @uu.se – especially @christianbenedict.bsky.social, @uio.no University of Oslo, Stockholm University, & Sahlgrenska University Hospital!

PR: www.uu.se/en/press/pre...
May 8, 2025 at 10:52 AM
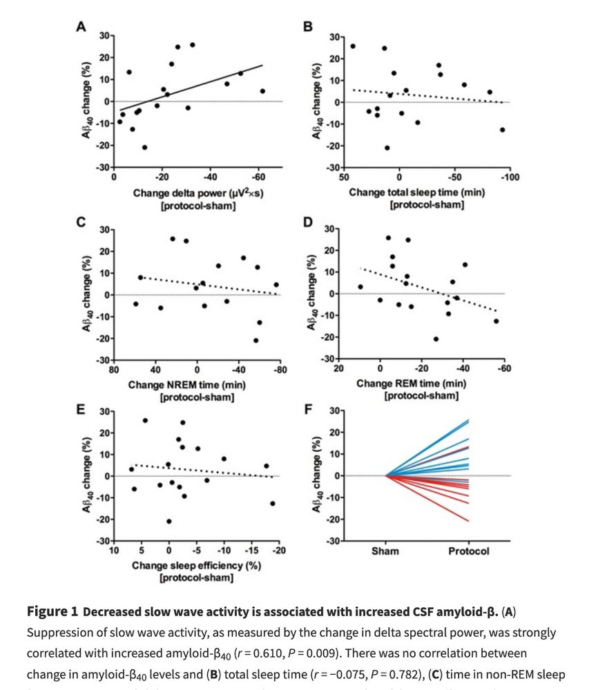
As another line of supportive evidence in humans, disruption of slow wave sleep increases CSF levels of #amyloid-β in healthy humans:

academic.oup.com/brain/articl...

And earlier in my thread:

Supporting causality, disrupted sleep *4 decades* earlier increases the risk of dementia/AD in humans
February 21, 2025 at 4:34 PM
Thanks to great teamwork with Christian Benedict!
February 21, 2025 at 5:02 AM