Zenz
therealzenz.bsky.social
Zenz
@therealzenz.bsky.social
Mostly Madison, WI development and political news. I live-tweet most Madison Plan Commission and Common Council meetings. Views are my own. Councilytics.com
Happy Thanksgiving!
November 28, 2025 at 4:09 AM
Vidaver's version would restrict the sale of THC drinks on the floor not in a multi-package. Mayer mapped out distance to youth facilities restrictions in his district. It would mean that no new THC retailers could open up (existing would be grandfathered).
November 26, 2025 at 2:24 AM
Mayer says that he talked to retailers in his district. 21+ is fine - most already doing this. Mayer shows single item beverages, especially in grocery stores are not compliant with Vidaver's version. Most people only drink one THC drink rather than several. Thinks THC is less harmful than alcohol
November 26, 2025 at 2:24 AM
Mayer pulled out retail location restrictions and in-store location of THC drinks from Vidaver's version.

Here is Vidaver's version:
November 26, 2025 at 2:06 AM
Last page of Mayer's version
November 26, 2025 at 2:06 AM
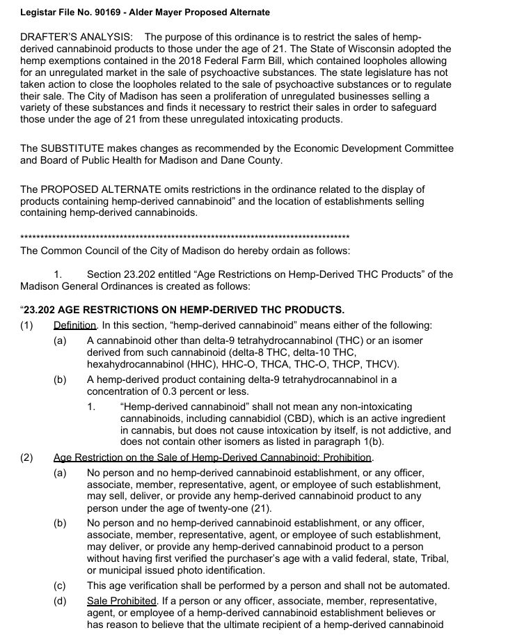
The regulation would require that the products must be purchased behind a counter like tobacco, and drinks aligned with alcohol. Here is the alternate offered by Alder Mayer.
November 26, 2025 at 2:01 AM
How could you put her in a tiny cage!?!?!
November 26, 2025 at 12:00 AM
Instead of the YIMBY index, all my candidate recommendations next year will be based upon how people voted on Duncan's Rabbit/Guinea Pig alternate to the pet sale ban. Tonight at Madison Common Council.
www.cityofmadison.com/city-hall/co...
November 25, 2025 at 11:55 PM
BTW, all this is a really good argument for shorter terms. If Imes doesn't resign, he is around until 2027.
November 24, 2025 at 3:55 PM
Trustee Ullsvik also asks for Imes' resignation today, says there has been a pattern of behavior that she has noticed and does not trust her.
November 24, 2025 at 3:38 PM
Two authors of letters calling for Imes' resignation speak. Trustee Bassüner says that he hopes this is a chance for Imes to check in with the board of Trustees. Barford says that there is a lack of trust with Imes. She thanks neighbors "forensic work" that brought accusations.
November 24, 2025 at 3:29 PM
A third public speaker calls for President's resignation, saying that a tax referendum will fail if he is still president. Fourth: This is the second time I've asked you to resign from a position, mentioning another org that he was supposedly asked to resign from previous. These people are mean!
November 24, 2025 at 3:17 PM
Got a cough so don't want to expose a room of retirees to the plague, so covering Shorewood Hills through Zoom. Two Trustees asking village President to resign. First public comment is about those single family homes someone is trying to build, for no apparent reason...
November 24, 2025 at 3:06 PM
November 23, 2025 at 4:51 PM
The meeting packet only consists of a single letter from two Trustees asking for the Village President to resign. I have no idea what the procedure for his removal would even be (would have been good for the packet). This is like Neighborhood Assoc. level stuff

shorewoodhillswi.gov/vertical/sit...
November 23, 2025 at 4:41 AM
Both the CSM for this latest part of the Starkweather (Voit Farm) and rezoning are unanimously recommended for approval by Plan Commission. Com. Solheim's dog is either very happy about it or not happy at all.
November 18, 2025 at 12:45 AM
Now more parcels of the Starkweather Plat is going to be rezoned for medium residential and commercial and platted. This is between the already platted residential to the west and Amazon to the east.

Legistar: madison.legistar.com/LegislationD...
November 18, 2025 at 12:36 AM
Alder Tishler is going to do a town hall in a few days about this. He wonders how much stone will be preserved. He also wants the Well 12 sign preserved. Water Utility says that they will preserve the sign and some dress block. Reclaiming more stone or addition would be too expensive.
November 18, 2025 at 12:21 AM
Water utility will "honor" the historic properties of the old well, by building a well that is similar and using some of the existing limestone. The current well is getting very weathered.
November 18, 2025 at 12:17 AM
Water utility wants to rebuild Well 12 801 S Whitney Way, but Landmarks found that it has some historic value, because it is in the early 20th century Prairie well style and speaks to the history of the water utility.

Read about its review at Landmarks:
www.councilytics.com/Landmarks.ht...
November 18, 2025 at 12:13 AM
That other facility might not exist, and isn't owned by this owner. There was also public comment asking for an addition of a (private) sidewalk to Starlight Dr, but city doesn't usually recommend private sidewalks to a cul-de-sac with no sidewalk. Any traffic through property will be cut off.
November 18, 2025 at 12:01 AM
It's time for Madison Plan Commission! Right off the bat, that controversial no-parking apartment building at 139 W Wilson referred to Dec. at developer request. A conversion of commercial building to adult day care center for ~30 at 4718 Hammersley Rd needs conditional use approval.
November 18, 2025 at 12:01 AM
Get the popcorn. An upzone in a trendy low density residential area is the true test of whether an alder is committed to YIMBY.

madison.com/news/local/b...
November 14, 2025 at 4:56 AM
OK, kids. Don't go to the municipal building on the 25th.
November 12, 2025 at 3:42 AM
They spent (almost) all the money. Good job to all. They paid for a some amendments with extra rainy day fund balance. MUCH easier budget night than in the past. Figueroa Cole giving some final words celebrating the funding of the new temp men's shelter, Madison saying there is lots of demand.
November 12, 2025 at 3:35 AM