Josh Wright
@jwrightmaths.bsky.social
Maths teacher (Secondary and FE). Dabble in MFL and Digital Skills. Lover of the language of Maths. Obsessed with diagrams and manipulatives.
linktr.ee/jwrightmaths
linktr.ee/jwrightmaths
In #MathsToday (and yesterday) Y7 just have a baseline test, so I've given them a nice, silly starter
October 8, 2025 at 7:03 AM
In #MathsToday (and yesterday) Y7 just have a baseline test, so I've given them a nice, silly starter
Been a while since I shared a #MathsToday task, so here's a starter ahead of some factorising practice. Good old piece of variation theory
September 18, 2025 at 6:57 AM
Been a while since I shared a #MathsToday task, so here's a starter ahead of some factorising practice. Good old piece of variation theory
And finally, a vertical number line!
May 29, 2025 at 3:23 PM
And finally, a vertical number line!
Formulae on the Foundation sheet (again, Higher tbd)
I had triangle diagrams ready to go, but we ran out of staples so focused on the wording first.
I had triangle diagrams ready to go, but we ran out of staples so focused on the wording first.
May 29, 2025 at 3:23 PM
Formulae on the Foundation sheet (again, Higher tbd)
I had triangle diagrams ready to go, but we ran out of staples so focused on the wording first.
I had triangle diagrams ready to go, but we ran out of staples so focused on the wording first.
Etymology corner: key prefixes and suffixes.
May 29, 2025 at 3:23 PM
Etymology corner: key prefixes and suffixes.
A list of key formulae not on the sheet (focusing on Foundation this year, Higher may appear over summer depending on timetable)
May 29, 2025 at 3:23 PM
A list of key formulae not on the sheet (focusing on Foundation this year, Higher may appear over summer depending on timetable)
A place value table showing column names, powers of 10, and decimal places.
May 29, 2025 at 3:23 PM
A place value table showing column names, powers of 10, and decimal places.
Time constraints (will fix it up over the summer), but my provisional display boards! 🥳
First time I've had to curate my own in about 5 years! 😝
#MathsToday #EduSky
First time I've had to curate my own in about 5 years! 😝
#MathsToday #EduSky
May 29, 2025 at 3:23 PM
Time constraints (will fix it up over the summer), but my provisional display boards! 🥳
First time I've had to curate my own in about 5 years! 😝
#MathsToday #EduSky
First time I've had to curate my own in about 5 years! 😝
#MathsToday #EduSky
Time constraints (will fix it up over the summer), but my provisional display boards! 🥳
First time I've had to curate my own in about 5 years! 😝
#MathsToday #EduSky
First time I've had to curate my own in about 5 years! 😝
#MathsToday #EduSky
May 29, 2025 at 2:43 PM
Time constraints (will fix it up over the summer), but my provisional display boards! 🥳
First time I've had to curate my own in about 5 years! 😝
#MathsToday #EduSky
First time I've had to curate my own in about 5 years! 😝
#MathsToday #EduSky
Also the bar model version if they want to see why matching x helps to make it a y problem.
December 29, 2024 at 11:04 PM
Also the bar model version if they want to see why matching x helps to make it a y problem.
This is my layout of choice, using q2a from Corbett's textbook exercise. Happy to break this down later but just give you time to digest/compare to your own.
And yes, that *is* a Mr Happy notepad.
And yes, that *is* a Mr Happy notepad.
December 29, 2024 at 10:43 PM
This is my layout of choice, using q2a from Corbett's textbook exercise. Happy to break this down later but just give you time to digest/compare to your own.
And yes, that *is* a Mr Happy notepad.
And yes, that *is* a Mr Happy notepad.
Semi-regular post showing off my Dad because...I mean, look at it!
linktr.ee/shaunwrightart to follow his socials/enquire 🙂
(Check out the alt text if you want the origin story of this one)
linktr.ee/shaunwrightart to follow his socials/enquire 🙂
(Check out the alt text if you want the origin story of this one)
December 9, 2024 at 9:05 PM
Semi-regular post showing off my Dad because...I mean, look at it!
linktr.ee/shaunwrightart to follow his socials/enquire 🙂
(Check out the alt text if you want the origin story of this one)
linktr.ee/shaunwrightart to follow his socials/enquire 🙂
(Check out the alt text if you want the origin story of this one)
Desmos visual to confirm. The green dots show that 00, 01, 37 and 48 are the only such values, seeing as x and y must be limited to 9.
Boiled down to 10x+y=x^2+y^2-xy (so close to being a binomial!)
Boiled down to 10x+y=x^2+y^2-xy (so close to being a binomial!)
November 17, 2024 at 10:19 PM
Desmos visual to confirm. The green dots show that 00, 01, 37 and 48 are the only such values, seeing as x and y must be limited to 9.
Boiled down to 10x+y=x^2+y^2-xy (so close to being a binomial!)
Boiled down to 10x+y=x^2+y^2-xy (so close to being a binomial!)
On the off-chance that any of you are near the Dover/Deal/Sandwich area, my Dad's doing a craft fair at Solley's Farm next Sunday. Good set of stalls, a nice cafe should you wish to grab food, and a pub about 200 yards away!
Details in the poster or alt-text.
Details in the poster or alt-text.
November 17, 2024 at 7:34 PM
On the off-chance that any of you are near the Dover/Deal/Sandwich area, my Dad's doing a craft fair at Solley's Farm next Sunday. Good set of stalls, a nice cafe should you wish to grab food, and a pub about 200 yards away!
Details in the poster or alt-text.
Details in the poster or alt-text.
Sometimes I just need to show off on his behalf...my Dad is bloody brilliant!
Please give him a follow, all his socials via linktr.ee/shaunwrightart
Please give him a follow, all his socials via linktr.ee/shaunwrightart
October 8, 2024 at 5:57 PM
Sometimes I just need to show off on his behalf...my Dad is bloody brilliant!
Please give him a follow, all his socials via linktr.ee/shaunwrightart
Please give him a follow, all his socials via linktr.ee/shaunwrightart
So many missing angles... #MathsToday
October 8, 2024 at 5:25 PM
So many missing angles... #MathsToday
September 28, 2024 at 8:34 PM
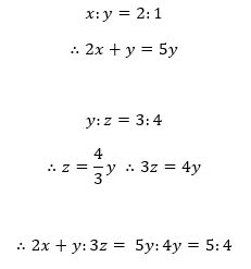
7am proofs woooo
September 28, 2024 at 6:04 AM
7am proofs woooo
People remember to have this conversation. Except if you are the Mongols
September 27, 2024 at 9:12 PM
People remember to have this conversation. Except if you are the Mongols
#MathsToday thread (it'll probably be cemented today)
For those who need to emphasise to their pupils that incredibly statistically likely does not mean certain, and vice versa, let me present the 2024 Minnesota Twins.
This picture is their likelihood of making the playoffs as the season went on.
For those who need to emphasise to their pupils that incredibly statistically likely does not mean certain, and vice versa, let me present the 2024 Minnesota Twins.
This picture is their likelihood of making the playoffs as the season went on.
September 27, 2024 at 5:12 PM
#MathsToday thread (it'll probably be cemented today)
For those who need to emphasise to their pupils that incredibly statistically likely does not mean certain, and vice versa, let me present the 2024 Minnesota Twins.
This picture is their likelihood of making the playoffs as the season went on.
For those who need to emphasise to their pupils that incredibly statistically likely does not mean certain, and vice versa, let me present the 2024 Minnesota Twins.
This picture is their likelihood of making the playoffs as the season went on.
So guessing yours looked like this?
September 25, 2024 at 6:16 PM
So guessing yours looked like this?
I did an FDRP method...does this check out?
It's been a long day so I'm aware the middle line could be done without the fraction but meh, and also that I could be missing something obvious!
It's been a long day so I'm aware the middle line could be done without the fraction but meh, and also that I could be missing something obvious!
September 25, 2024 at 5:52 PM
I did an FDRP method...does this check out?
It's been a long day so I'm aware the middle line could be done without the fraction but meh, and also that I could be missing something obvious!
It's been a long day so I'm aware the middle line could be done without the fraction but meh, and also that I could be missing something obvious!