David Phillippo
dmphillippo.bsky.social
David Phillippo
@dmphillippo.bsky.social
Statistician at University of Bristol | Bayesian, meta-analysis and evidence synthesis, #rstats
📣 multinma update v0.7.1 on CRAN * New marginal_effects() function for computing marginal relative effects
* Progress bars for long operations
* trt_ref argument to predict() has been renamed to baseline_ref for consistency
* Bug fixes Full details 👉https://t.co/abYabQCvKS
June 17, 2025 at 1:28 PM
More nuggets in this paper:
- A new algorithm for automatic convergence checking for numerical integration 👉 fewer integration samples needed, nice warnings, MUCH faster ML-NMR models
- M-spline baseline hazard model with a novel random walk shrinkage prior 👀
June 17, 2025 at 1:27 PM
Survival analysis with multilevel network meta-regression? Yes please! New preprint extending ML-NMR to likelihoods of any form, including for survival analysis. Accompanied by a new multinma release v0.6.0, which is on CRAN now. https://arxiv.org/abs/2401.12640
June 17, 2025 at 1:27 PM
📣 Update to multinma v0.4.0 on CRAN
- Node-splitting for checking inconsistency
- Predictive distributions for random effects models
- Improved handling of correlations for integration points (ML-NMR models)
- And more! Details 👉 https://dmphillippo.github.io/multinma/news
#rstats #metaanalysis
June 17, 2025 at 1:27 PM
The {multinma} R package now has a website!
👉 https://dmphillippo.github.io/multinma/ 👈 - All documentation with illustrated code
- Walkthroughs of example analyses #rstats #metaanalysis
June 17, 2025 at 1:26 PM
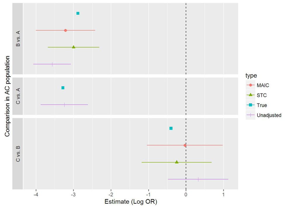
📣 New paper! #openaccess Comparing the performance of population adjustment methods (MAIC, STC, and multilevel network meta-regression) in an extensive simulation study https://onlinelibrary.wiley.com/doi/10.1002/sim.8759
June 17, 2025 at 1:26 PM
Very spoilt by my lovely wife with this birthday gift! 🎁 Stunning print from @thomasp85, thank you!
June 17, 2025 at 1:26 PM
📣 R package {multinma} is now on CRAN! 📦
Bayesian network meta-analysis and multilevel network meta-regression of individual and aggregate data in @mcmc_stan https://cran.r-project.org/package=multinma #rstats
June 17, 2025 at 1:26 PM
Enjoyed running the two day Network Meta-Analysis and Population Adjustment for Decision Making course in Sydney earlier this week. Thanks to all those who came along, and to Alan Brnabic and the APBG for organising!
June 17, 2025 at 1:25 PM
Delighted to say that I have handed in my PhD thesis! 🎉 Huge thanks to my supervisors @sdias_stats and Nicky Welton, and to everyone else who has supported me along the way!
June 17, 2025 at 1:25 PM
Published today #OpenAccess - Population Adjustment Methods for Indirect Comparisons: A Review of NICE Technology Appraisals http://doi.org/10.1017/S026646231900033
June 17, 2025 at 1:25 PM
Excellent keynote talk from @FryRsquared at #RSS2018Conf - Being Human in the Age of Algorithms. Entertaining. Thought provoking.
June 17, 2025 at 1:25 PM
New coffee day is always a good day! Courtesy of @roundhillcoffee
June 17, 2025 at 1:25 PM
I love a good histogram.
June 17, 2025 at 1:24 PM
Worked examples of the methods in the supplementary material too! #rstats
June 17, 2025 at 1:24 PM
Our poster on the @NICE_DSU TSD recommendations for population-adjusted comparisons is up - come say hi! #ISPORBoston
June 17, 2025 at 1:24 PM
Starting to fill up for the welcome at #gin2016
June 17, 2025 at 1:24 PM
And not a bad spot for lunch either! #EARL2016
June 17, 2025 at 1:24 PM
Great view for the morning session on #ggplot2 #rstats at #EARL2016!
June 17, 2025 at 1:24 PM