Aditya Kumar
adityakr.bsky.social
Aditya Kumar
@adityakr.bsky.social
Assistant Professor at Georgia Tech studying fracture mechanics and mechanics of soft solids.

https://sites.gatech.edu/adityakumar/
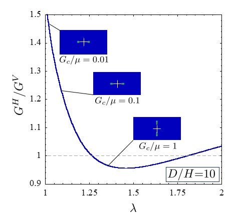
Other factors such as the material's fracture toughness and the aspect ratio of the thin layer also plays a role:

[10/n]
October 27, 2025 at 2:44 AM
The main culprit is the material's Poisson's ratio. As the Poisson's ratio approaches 0.5, load-parallel crack growth becomes preferable over horizontal crack growth in thin confined layers. The material seeks to release the large buildup of stress in the horizontal direction.

[9/n]
October 27, 2025 at 2:44 AM
Because the rubber is highly compliant, the simultaneous growth in two directions makes it appear as if a spherical cavity is elastically growing. See this figure, which shows how a crack geometry with two perpendicular crack fronts appear in the deformed configuration.

[7/n]
October 27, 2025 at 2:44 AM
The second mode is more unusual. Instead of a penny-shaped crack, cavities of nearly spherical shape are observed to form!

[4/n]
October 27, 2025 at 2:44 AM
First mode resembles the usual way a rubber band would have failed. Cracks nucleate internally or on the surface and grow perpendicular to the load.

[3/n]
October 27, 2025 at 2:44 AM