Evan W. Sandlin
@ewsandlin.bsky.social
230 followers 220 following 130 posts
Political Scientist. I study public opinion.
Posts Media Videos Starter Packs
Reposted by Evan W. Sandlin
We’ve met with Greta Thunberg and others in the flotilla. They describe hours-long scenes of torture and sexual harassment in Israeli captivity. Experts conclude that they have been subjected to serious crimes – Sweden’s foreign minister believes they have themselves to blame.

tinyurl.se/crR
Greta Thunberg: “They kicked me every time the flag touched my face”
– Greta Thunberg on her days in Israeli captivity Beating, kicking, and threats of being gassed in cages. Greta Thunberg and several others from the flotilla ar
www.aftonbladet.se
Reposted by Evan W. Sandlin
BREAKING: Friday night massacre underway at CDC. Doznes of "disease detectives," high-level scientists, entire Washington staff and editors of the MMWR (Morbidity and Mortality Weekly Report) have all been RIFed and received the following notice:
Do it.
White House officials have held increasingly serious discussions in recent days about President Donald Trump invoking the Insurrection Act, a rarely used 19th century law that gives the president the power to deploy active-duty troops inside the U.S. for law enforcement purposes
Trump administration officials seriously discussing invoking Insurrection Act, sources say
A decision is not expected to be imminent, one source said, but debate within the administration has shifted recently to more deeply exploring how and when the act might be invoked.
www.nbcnews.com
The Poor Things defender has logged on (it’s me). Aftersun and TÁR were also very good though.
Basically Hegseth wants basic training instructors to be this guy, forgetting what happened to this guy about 40 minutes into the movie:
Reposted by Evan W. Sandlin
yeah they're just murdering random people on these boats
I think the Trump admin assumed no one would try to find out who the people on the boats they blew up really were
Reposted by Evan W. Sandlin
Indie director Barbara Marques has been kidnapped by ICE. She is legally married to a U.S. citizen & was at a green card mtg when she was abducted and prevented from seeing her lawyer. Her husband Tucker May does not know where she is. Please spread the word so he can find her /1
Reposted by Evan W. Sandlin
NEW Quinnipiac poll of registered U.S. voters:

• Half now say Israel is committing genocide in Gaza

• Only 47% see backing Israel as a U.S. interest, down from 69% in 2023

• 60% oppose more military aid to Israel

• 58% favor UN recognition of a Palestinian state

www.haaretz.com/us-news/2025...
Support for Israel in U.S. drops sharply, Netanyahu unpopular, new poll shows
Quinnipiac Survey Finds Only 47% of Americans See Backing Israel as a U.S. Interest, Down From 69% in 2023. Half of Voters Believe Israel Is Committing Genocide in Gaza, While Just 31% Approve of Trum...
www.haaretz.com
Plenty dullards with guns in this country, so it is unfortunately totally believable that someone sympathetic to immigrants but who is nevertheless, an idiot, shot into a random ICE van. Regardless, worth pointing out that 14 people have died in ICE custody so it is obviously feigned outrage.
There is no domestic terrorist designation. There is no domestic terrorist list. He's just making it up as he goes along.
Complete moron (the President) spews garbage.
Reposted by Evan W. Sandlin
The Colbert situation was a little more complicated. This one is crystal clear!
Regime threatens media company saying "censor or we will do y" -> company censors.

Seems pretty clear what happened here!
Reposted by Evan W. Sandlin
"The masses will remember Robert Redford jumping off that cliff with Paul Newman, but it’s the work in Park City that may have had the greatest effect."

@sonnybunch.bsky.social on the actor, star, and indie entrepreneur: www.thebulwark.com/p/robert-red...
Robert Redford, 1936–2025
Actor, star, indie entrepreneur.
www.thebulwark.com
Reposted by Evan W. Sandlin
We're close to reaching a chilling moment; the first time in history where the single largest group of people arrested by ICE in the interior and held in detention are people with no criminal record. The gap is now down to fewer than 300 people.
Chart showing Detention Population, Among Those Arrested by ICE in the Interior, by Criminal Record. The data goes back to 2019 and is divided into three groups of people who were arrested by ICE: Any prior conviction, pending charges, and no criminal record. The chart shows that until 2025, the single largest group was always people with prior criminal convictions. But starting in the Trump admin, the population of people arrested with no criminal record began skyrocketing. It surpassed people with pending criminal charges in June and is now extremely close to those with prior convictions.
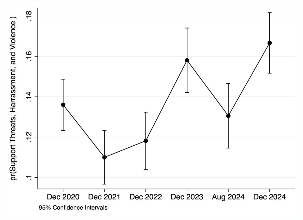
This is from the Understanding America Study (different project than the one you link to here) but we found similar results after the Trump assassination attempt but then our highest reading yet in Dec 2024
It went right back up afterwards.
Now as someone who has written a bit on political violence over the past four years I’ve been very interested in learning about the Italian years of lead. Problem is I don’t know Italian and there isn’t a ton of literature in English that I can find. Anyone have a good recs?
You do not have to like or care for a victim of political violence in order to believe that it is bad. Can someone explain to me what there is to celebrate? This has accomplished nothing and only ill will come in its wake.
Reposted by Evan W. Sandlin
Writing a thing about this but what really jumps out about Kavanugh's appalling opinion is that he pretends to be doing the same "myriad of factors" analysis so he can claim he's not just authorizing pure racial profiling. The problem is the other "factors" are... FACTORS ABOUT LOS ANGELES.
Looks, accent, skull shape; it’s all relative
GEIST: What is 'reasonable suspicion'? Is it an accent, a tattoo, a job?

TOM HOMAN: A lot of those things combined. We don't arrest people just based on their looks, but it's myriad of factors.
NRG released something recently on how the all the most well known IP among younger viewers is far and away video game related. As much as I would like a resurgence of an American independent movement or something I think we’re likely to get a lot of video game movies over the next decade.