SPINA Team
@spinateam.bsky.social
Current news on the Structure Parameter Inference Approach, a #cybernetic method for the diagnostic evaluation of #endocrine #homeostasis #SPINAThyr #SPINA_Carb #SPINA_Thyr
http://spina.sf.net
http://spina.sf.net
Mathematical modelling of #insulin-#glucose #homeostasis delivers new and improved methods for metabolic endotyping. #prediabetes #diabetes #metabolic_syndrome #betacell pubmed.ncbi.nlm.nih.gov/36271244/ doi.org/10.1038/s415...
September 26, 2025 at 9:24 PM
Mathematical modelling of #insulin-#glucose #homeostasis delivers new and improved methods for metabolic endotyping. #prediabetes #diabetes #metabolic_syndrome #betacell pubmed.ncbi.nlm.nih.gov/36271244/ doi.org/10.1038/s415...
Gestational #diabetes mellitus (GDM) is linked to significant adverse outcomes for both mothers and their offspring. Since #SPINA-GBeta outperforms #HOMA-Beta, its use is advised as a preferred calculated #biomarker for the evolution and pathophysiology of #GDM.
pubmed.ncbi.nlm.nih.gov/40943638/
pubmed.ncbi.nlm.nih.gov/40943638/
September 20, 2025 at 3:57 PM
Gestational #diabetes mellitus (GDM) is linked to significant adverse outcomes for both mothers and their offspring. Since #SPINA-GBeta outperforms #HOMA-Beta, its use is advised as a preferred calculated #biomarker for the evolution and pathophysiology of #GDM.
pubmed.ncbi.nlm.nih.gov/40943638/
pubmed.ncbi.nlm.nih.gov/40943638/
SPINA apps are also available from European servers, provided by #CERN's #zenodo:
doi.org/10.5281/zeno...
doi.org/10.5281/zeno...
@cern.bsky.social
doi.org/10.5281/zeno...
doi.org/10.5281/zeno...
@cern.bsky.social
July 19, 2025 at 2:06 PM
SPINA apps are also available from European servers, provided by #CERN's #zenodo:
doi.org/10.5281/zeno...
doi.org/10.5281/zeno...
@cern.bsky.social
doi.org/10.5281/zeno...
doi.org/10.5281/zeno...
@cern.bsky.social
#SPINA_Thyr and #SPINA_Carb, two implementations of the structure parameter inference approach (SPINA), provide evidence-based improved methods for diagnosis and endotyping of endocrine diseases. Now, thoroughly tested apps for Mac and Windows are available for free download.
spina.sf.net
spina.sf.net
July 19, 2025 at 2:06 PM
#SPINA_Thyr and #SPINA_Carb, two implementations of the structure parameter inference approach (SPINA), provide evidence-based improved methods for diagnosis and endotyping of endocrine diseases. Now, thoroughly tested apps for Mac and Windows are available for free download.
spina.sf.net
spina.sf.net
SPINA Carb 5.1.0 Cyclone has been released in its final version.
#SPINA-GBeta #SPINA-GR #SPINA-DI #SPINA_Carb #insulin #glucose #homeostasis #prediabetes #diabetes
sourceforge.net/projects/spi...
doi.org/10.5281/zeno...
doi.org/10.5281/zeno...
#SPINA-GBeta #SPINA-GR #SPINA-DI #SPINA_Carb #insulin #glucose #homeostasis #prediabetes #diabetes
sourceforge.net/projects/spi...
doi.org/10.5281/zeno...
doi.org/10.5281/zeno...
July 13, 2025 at 8:08 PM
SPINA Carb 5.1.0 Cyclone has been released in its final version.
#SPINA-GBeta #SPINA-GR #SPINA-DI #SPINA_Carb #insulin #glucose #homeostasis #prediabetes #diabetes
sourceforge.net/projects/spi...
doi.org/10.5281/zeno...
doi.org/10.5281/zeno...
#SPINA-GBeta #SPINA-GR #SPINA-DI #SPINA_Carb #insulin #glucose #homeostasis #prediabetes #diabetes
sourceforge.net/projects/spi...
doi.org/10.5281/zeno...
doi.org/10.5281/zeno...
Release candidate 3 for the software SPINA Carb Cyclone is available for macOS, Windows and Linux.
sourceforge.net/projects/spi...
doi.org/10.5281/zeno...
doi.org/10.5281/zeno...
#SPINA_Carb #SPINA-GBeta #SPINA-GR #SPINA-DI #HOMA
sourceforge.net/projects/spi...
doi.org/10.5281/zeno...
doi.org/10.5281/zeno...
#SPINA_Carb #SPINA-GBeta #SPINA-GR #SPINA-DI #HOMA
June 21, 2025 at 2:26 PM
Release candidate 3 for the software SPINA Carb Cyclone is available for macOS, Windows and Linux.
sourceforge.net/projects/spi...
doi.org/10.5281/zeno...
doi.org/10.5281/zeno...
#SPINA_Carb #SPINA-GBeta #SPINA-GR #SPINA-DI #HOMA
sourceforge.net/projects/spi...
doi.org/10.5281/zeno...
doi.org/10.5281/zeno...
#SPINA_Carb #SPINA-GBeta #SPINA-GR #SPINA-DI #HOMA
In patients undergoing #thyroid surgery due to nodules, #SPINA-GT is lower (and the set point of the homeostatic system higher) in cases of thyroid cancer compared to benign nodules.
doi.org/10.3389/fend...
doi.org/10.3389/fend...
June 8, 2025 at 4:00 PM
In patients undergoing #thyroid surgery due to nodules, #SPINA-GT is lower (and the set point of the homeostatic system higher) in cases of thyroid cancer compared to benign nodules.
doi.org/10.3389/fend...
doi.org/10.3389/fend...
Release candidate 2 of #SPINA_Carb is available for testing.
sourceforge.net/projects/spi...
doi.org/10.5281/zeno...
doi.org/10.5281/zeno...
sourceforge.net/projects/spi...
doi.org/10.5281/zeno...
doi.org/10.5281/zeno...
May 18, 2025 at 9:19 AM
Release candidate 2 of #SPINA_Carb is available for testing.
sourceforge.net/projects/spi...
doi.org/10.5281/zeno...
doi.org/10.5281/zeno...
sourceforge.net/projects/spi...
doi.org/10.5281/zeno...
doi.org/10.5281/zeno...
After intensive internal testing, the release candidate 1 of the #SPINA_Carb app is available. This is the "sister" app for #SPINA_Thyr, and it is provided for purposes of testing.
sourceforge.net/projects/spi...
doi.org/10.5281/zeno...
doi.org/10.5281/zeno...
sourceforge.net/projects/spi...
doi.org/10.5281/zeno...
doi.org/10.5281/zeno...
April 21, 2025 at 11:09 AM
After intensive internal testing, the release candidate 1 of the #SPINA_Carb app is available. This is the "sister" app for #SPINA_Thyr, and it is provided for purposes of testing.
sourceforge.net/projects/spi...
doi.org/10.5281/zeno...
doi.org/10.5281/zeno...
sourceforge.net/projects/spi...
doi.org/10.5281/zeno...
doi.org/10.5281/zeno...
Calculating #SPINA-GT is useful in paediatrics, as recently shown in a research paper by the Medical School of Patras.
SPINA-GT is significantly reduced in subclinical hypothyroidism and even in the upper 2 quartiles of normal TSH.
pubmed.ncbi.nlm.nih.gov/40230485/
doi.org/10.3389/fend...
SPINA-GT is significantly reduced in subclinical hypothyroidism and even in the upper 2 quartiles of normal TSH.
pubmed.ncbi.nlm.nih.gov/40230485/
doi.org/10.3389/fend...
April 20, 2025 at 12:20 AM
Calculating #SPINA-GT is useful in paediatrics, as recently shown in a research paper by the Medical School of Patras.
SPINA-GT is significantly reduced in subclinical hypothyroidism and even in the upper 2 quartiles of normal TSH.
pubmed.ncbi.nlm.nih.gov/40230485/
doi.org/10.3389/fend...
SPINA-GT is significantly reduced in subclinical hypothyroidism and even in the upper 2 quartiles of normal TSH.
pubmed.ncbi.nlm.nih.gov/40230485/
doi.org/10.3389/fend...
#Hidradenitis suppurativa (acne inversa) is linked to #diabetes mellitus. In the affected, #SPINA-GR is reduced and not compensated by #SPINA-GBeta, resulting in low #SPINA-DI. This phenomenon may be mediated by #inflammation, as shown by ties to #haptoglobin.
pubmed.ncbi.nlm.nih.gov/40217596/
pubmed.ncbi.nlm.nih.gov/40217596/
April 13, 2025 at 3:26 PM
#Hidradenitis suppurativa (acne inversa) is linked to #diabetes mellitus. In the affected, #SPINA-GR is reduced and not compensated by #SPINA-GBeta, resulting in low #SPINA-DI. This phenomenon may be mediated by #inflammation, as shown by ties to #haptoglobin.
pubmed.ncbi.nlm.nih.gov/40217596/
pubmed.ncbi.nlm.nih.gov/40217596/
Again, a study shows that #environmental #toxicants, i.e. endocrine #disruptors, strongly affect #thyroid #homeostasis. For calculated biomarkers, i.e. #SPINA-GT and #SPINA-GD, this effect is more pronounced than for #TSH.
pubmed.ncbi.nlm.nih.gov/39826653/
doi.org/10.1016/j.en...
pubmed.ncbi.nlm.nih.gov/39826653/
doi.org/10.1016/j.en...
March 2, 2025 at 10:12 PM
Again, a study shows that #environmental #toxicants, i.e. endocrine #disruptors, strongly affect #thyroid #homeostasis. For calculated biomarkers, i.e. #SPINA-GT and #SPINA-GD, this effect is more pronounced than for #TSH.
pubmed.ncbi.nlm.nih.gov/39826653/
doi.org/10.1016/j.en...
pubmed.ncbi.nlm.nih.gov/39826653/
doi.org/10.1016/j.en...
Growing evidence supports a role of sensorimotor and autonomic #neuropathy in #syndrome_T or #SORSHOT, i.e. reduced quality of life in treated #hypothyroidism. #SPINA_GT and #SPINA_GD predict nerve function and depression.
pubmed.ncbi.nlm.nih.gov/38811750/
doi.org/10.1038/s415...
pubmed.ncbi.nlm.nih.gov/38811750/
doi.org/10.1038/s415...
February 8, 2025 at 10:18 AM
Growing evidence supports a role of sensorimotor and autonomic #neuropathy in #syndrome_T or #SORSHOT, i.e. reduced quality of life in treated #hypothyroidism. #SPINA_GT and #SPINA_GD predict nerve function and depression.
pubmed.ncbi.nlm.nih.gov/38811750/
doi.org/10.1038/s415...
pubmed.ncbi.nlm.nih.gov/38811750/
doi.org/10.1038/s415...
Again, a study showed a strong influence of endocrine disruptors on #thyroid homeostasis. Exposure to butylparaben significantly reduces #SPINA-GD, whereas ethylparaben slightly increases #SPINA_GT in pregnancy.
pubmed.ncbi.nlm.nih.gov/39889471/
doi.org/10.1016/j.ec...
pubmed.ncbi.nlm.nih.gov/39889471/
doi.org/10.1016/j.ec...
February 2, 2025 at 4:53 PM
Again, a study showed a strong influence of endocrine disruptors on #thyroid homeostasis. Exposure to butylparaben significantly reduces #SPINA-GD, whereas ethylparaben slightly increases #SPINA_GT in pregnancy.
pubmed.ncbi.nlm.nih.gov/39889471/
doi.org/10.1016/j.ec...
pubmed.ncbi.nlm.nih.gov/39889471/
doi.org/10.1016/j.ec...
6 months after #COVID-19, #SPINA-GD correlates negatively to the severity of fatigue in patients affected by Long COVID (PASC).
pubmed.ncbi.nlm.nih.gov/39247915/
doi.org/10.3389/fend...
pubmed.ncbi.nlm.nih.gov/39247915/
doi.org/10.3389/fend...
January 12, 2025 at 4:27 PM
6 months after #COVID-19, #SPINA-GD correlates negatively to the severity of fatigue in patients affected by Long COVID (PASC).
pubmed.ncbi.nlm.nih.gov/39247915/
doi.org/10.3389/fend...
pubmed.ncbi.nlm.nih.gov/39247915/
doi.org/10.3389/fend...
The method of structure parameter inference approach, i.e. #SPINA-Thyr and #SPINA_Carb, has predictive power in the setting of #P4_medicine. In a large population sample, four SPINA parameters, #SPINA-GT, #SPINA-GD, #SPINA-GBeta and #SPINA-DI, predicted all-cause mortality.
doi.org/10.53201/LEI...
doi.org/10.53201/LEI...
December 28, 2024 at 6:54 PM
The method of structure parameter inference approach, i.e. #SPINA-Thyr and #SPINA_Carb, has predictive power in the setting of #P4_medicine. In a large population sample, four SPINA parameters, #SPINA-GT, #SPINA-GD, #SPINA-GBeta and #SPINA-DI, predicted all-cause mortality.
doi.org/10.53201/LEI...
doi.org/10.53201/LEI...
Calculating #SPINA-GT, #thyroid's secretory capacity, and #SPINA-GD, total #deiodinase activity, is evolving towards a standard method of research in #thyroidology, as shown by more than 100 citations of one of our defining papers. 🧪🩺
pubmed.ncbi.nlm.nih.gov/27375554/
doi.org/10.3389/fend...
pubmed.ncbi.nlm.nih.gov/27375554/
doi.org/10.3389/fend...
December 22, 2024 at 11:58 PM
Calculating #SPINA-GT, #thyroid's secretory capacity, and #SPINA-GD, total #deiodinase activity, is evolving towards a standard method of research in #thyroidology, as shown by more than 100 citations of one of our defining papers. 🧪🩺
pubmed.ncbi.nlm.nih.gov/27375554/
doi.org/10.3389/fend...
pubmed.ncbi.nlm.nih.gov/27375554/
doi.org/10.3389/fend...
Endocrine disruptors have a strong effect on the peripheral #thyroid hormone metabolism. A recent study showed a nonlinear dose-response relationship between #PFAS and step-up deiodinase activity (#SPINA_GD).
pubmed.ncbi.nlm.nih.gov/39556482/
doi.org/10.1210/clin...
pubmed.ncbi.nlm.nih.gov/39556482/
doi.org/10.1210/clin...
November 26, 2024 at 9:17 PM
Endocrine disruptors have a strong effect on the peripheral #thyroid hormone metabolism. A recent study showed a nonlinear dose-response relationship between #PFAS and step-up deiodinase activity (#SPINA_GD).
pubmed.ncbi.nlm.nih.gov/39556482/
doi.org/10.1210/clin...
pubmed.ncbi.nlm.nih.gov/39556482/
doi.org/10.1210/clin...
This circuit has strong implications for survival. pubmed.ncbi.nlm.nih.gov/38502972/ 🩺
May 11, 2024 at 8:51 AM
This circuit has strong implications for survival. pubmed.ncbi.nlm.nih.gov/38502972/ 🩺
#SPINA_GT, #SPINA_GD and Jostel's TSH index (#JTI or #TSHI) are predictors of survival in patients with #Takotsubo syndrome (#stress #cardiomyopathy), as recently demonstrated in the international GEIST registry. 🩺
pubmed.ncbi.nlm.nih.gov/38502972/
doi.org/10.1016/j.eb...
pubmed.ncbi.nlm.nih.gov/38502972/
doi.org/10.1016/j.eb...
March 24, 2024 at 5:48 PM
#SPINA_GT, #SPINA_GD and Jostel's TSH index (#JTI or #TSHI) are predictors of survival in patients with #Takotsubo syndrome (#stress #cardiomyopathy), as recently demonstrated in the international GEIST registry. 🩺
pubmed.ncbi.nlm.nih.gov/38502972/
doi.org/10.1016/j.eb...
pubmed.ncbi.nlm.nih.gov/38502972/
doi.org/10.1016/j.eb...
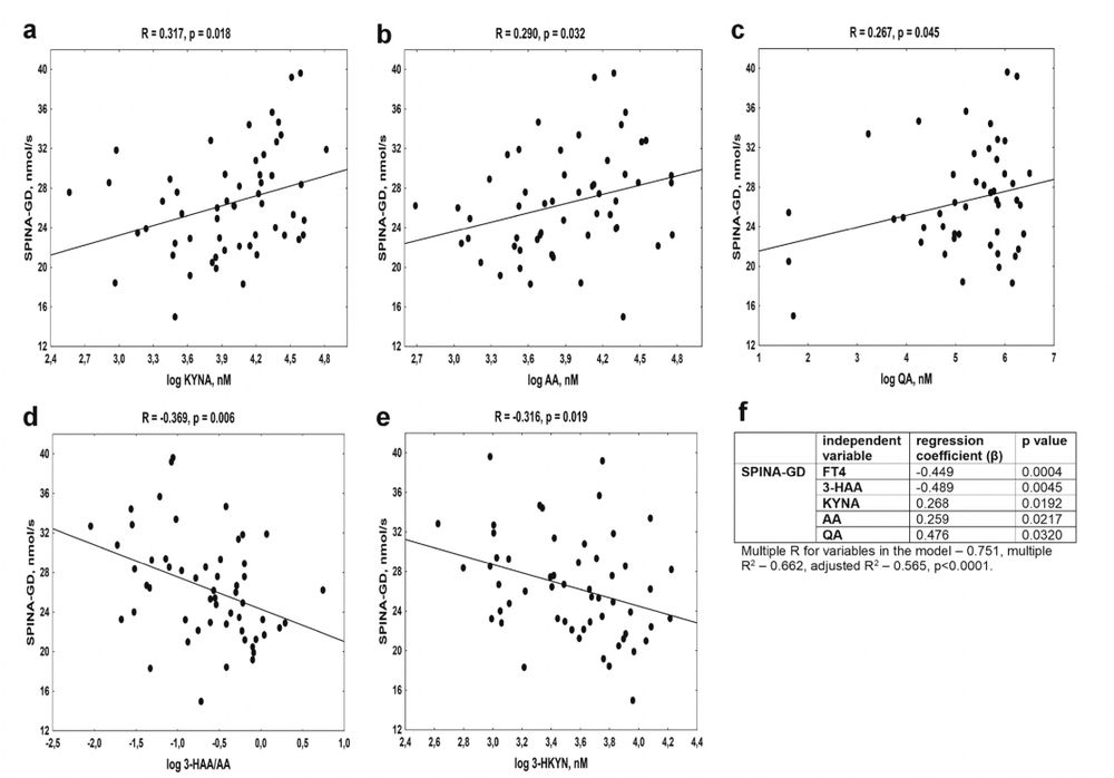
The #kynurenine pathway is a series of chemical reactions that produce NAD+ and other mediators with immunomodulatory function. A recent study shows that this pathway is altered in autoimmune #thyroiditis. Several metabolites correlate with #SPINA_GD. 🧪 🩺 pubmed.ncbi.nlm.nih.gov/38514790/
March 23, 2024 at 7:09 PM
The #kynurenine pathway is a series of chemical reactions that produce NAD+ and other mediators with immunomodulatory function. A recent study shows that this pathway is altered in autoimmune #thyroiditis. Several metabolites correlate with #SPINA_GD. 🧪 🩺 pubmed.ncbi.nlm.nih.gov/38514790/
#SPINA_GD is reduced in major #depression, #bipolar disorder and #schizophrenia, whereas #SPINA_GT is elevated in schizophrenia and bipolar disorder, marking a unique profile of #thyroid_allostasis. pubmed.ncbi.nlm.nih.gov/38277991/ doi.org/10.1016/j.ps...
March 3, 2024 at 11:28 PM
#SPINA_GD is reduced in major #depression, #bipolar disorder and #schizophrenia, whereas #SPINA_GT is elevated in schizophrenia and bipolar disorder, marking a unique profile of #thyroid_allostasis. pubmed.ncbi.nlm.nih.gov/38277991/ doi.org/10.1016/j.ps...
#SPINA_Thyr 4.2.1 released. This new version fixes several minor bugs. It is compatible with Windows (32 and 64 bits), macOS (Intel and Apple Silicon) and several Unix and Linux variants. spina.sourceforge.net doi.org/10.5281/zeno... doi.org/10.5281/zeno... 🩺 🧪
February 24, 2024 at 5:32 PM
#SPINA_Thyr 4.2.1 released. This new version fixes several minor bugs. It is compatible with Windows (32 and 64 bits), macOS (Intel and Apple Silicon) and several Unix and Linux variants. spina.sourceforge.net doi.org/10.5281/zeno... doi.org/10.5281/zeno... 🩺 🧪
Breaking news: In combination with whole-exome sequencing, #SPINA_Carb helped to discover a new form of #MODY #diabetes, caused by an atypical missense variant in the #RyR2 gene (coding the the type 2 #ryanodine receptor). doi.org/10.3389/fend... 🧪🩺
February 20, 2024 at 5:19 PM
Breaking news: In combination with whole-exome sequencing, #SPINA_Carb helped to discover a new form of #MODY #diabetes, caused by an atypical missense variant in the #RyR2 gene (coding the the type 2 #ryanodine receptor). doi.org/10.3389/fend... 🧪🩺
#SPINA_Carb has high discriminatory power for the distinction between #diabetes and normal glucose homeostasis. SPINA-GBeta is better than HOMA-Beta, SPINA-GR is better than HOMA-IR and QUICKI, but SPINA-DI is best, being even more powerful than ivGTT. 🩺🧪 pubmed.ncbi.nlm.nih.gov/38169110/
January 6, 2024 at 10:59 AM
#SPINA_Carb has high discriminatory power for the distinction between #diabetes and normal glucose homeostasis. SPINA-GBeta is better than HOMA-Beta, SPINA-GR is better than HOMA-IR and QUICKI, but SPINA-DI is best, being even more powerful than ivGTT. 🩺🧪 pubmed.ncbi.nlm.nih.gov/38169110/