Lamar Pierce
banner
lamarpierce.bsky.social
Lamar Pierce
@lamarpierce.bsky.social
Strategy & Orgs Professor @WUSTL. Editor-in-Chief at Organization Science. Rehabilitating Pianist, Weeble Disciple
Reposted by Lamar Pierce
I’m a speech to the faculty yesterday, Chancellor Martin made it very clear that he would not consider any agreements that violated the independence and academic freedom of WashU. This is absolutely the right decision.
Editorial: WashU deserves praise for rejecting Trump's coercive 'compact'
WashU deserves praise for rejecting Trump's coercive 'compact'
www.stltoday.com
October 24, 2025 at 1:49 PM
Reposted by Lamar Pierce
We are hiring at Rotman Strategy in the Fall. Apply here. jobs.utoronto.ca/job/Toronto-...
Assistant Professor - Strategic Management
Assistant Professor - Strategic Management
jobs.utoronto.ca
July 21, 2025 at 6:55 PM
Reposted by Lamar Pierce
Wow!

Three scholars at Columbia, Michigan, & Maryland just introduced a measure of the partisan leanings of employers in the U.S.

The data is constructed by linking voter registrations to online worker profiles.

VRscores capture the political affiliations of 21.8M workers across 2.6M employers.
April 6, 2025 at 3:25 PM
Reposted by Lamar Pierce
🚨New paper alert!🚨

Women are less likely to enter competitions than men—even when equally qualified. But telling them this can change behavior.

📈 In a field experiment on a job application platform, we found that highlighting this gender gap increased the # of job apps women submitted by ~20%.
March 27, 2025 at 2:36 PM
Those of us watching this market have seen this and delinquencies coming. Any small shock to cash flow, such as unemployment rising, was going to blow up consumer credit.
U.S. auto loans applications are being rejected at the highest rate in more than a decade #EconSky
March 18, 2025 at 3:38 PM
Reposted by Lamar Pierce
Very excited to see our paper "Like Stars: How Firms Learn at Scientific Conferences" out in print in Management Science! (with Stefano Baruffaldi - yet to join over here)

pubsonline.informs.org/doi/abs/10.1...
March 5, 2025 at 9:27 AM
Reposted by Lamar Pierce
As federal research grants continue to be frozen, and NIH staff is being gutted, please note this study was funded by federal research grants, including from NIH. If they continue with staff cuts, and continue to freeze new awards, this is just one example of what we lose.
THIS IS HUGE! A cancer vaccine developed by Yale University and DFCI shows MAJOR promise. Results of an early-phase trial reveal ALL patients with ADVANCED stage kidney cancer had successful anti-cancer immune responses AND have remained CANCER-FREE approximately THREE years after treatment. 🧪🧵⬇️
February 26, 2025 at 7:05 PM
Reposted by Lamar Pierce
Our dept (Entrepreneurship & Strategy) at U of Utah is hiring a Post Doc for a July 2025 start.

If you are graduating this Spring with a PhD in Strategy or Economics (or related fields) please see the posting and apply!

utah.peopleadmin.com/postings/178...
February 19, 2025 at 8:58 PM
Reposted by Lamar Pierce
Shockingly, the slashing of the NIH indirect rate is illegal

goodscience.substack.com/p/indirect-c...
February 9, 2025 at 3:06 PM
Please go check out our performance report. We focus heavily on transparency and want scholars to update their beliefs about what they would experience in the review process. I don't ever want to hear someone say "don't send to Org Science because it's slow" again.
Our 2024 Performance Report is now on Substack (subscribe!) in many colors! The summary? Submissions are up, review time is fast, rejection after Round 2 is very rare, and impact is up. EIC blog jokes are still bad. Send us your papers if you want a fast and fair process with great exposure.
The 2024 Organization Science Annual Performance Report
Peach is a very nice color for histograms
orgsci.substack.com
February 5, 2025 at 2:57 PM
Reposted by Lamar Pierce
Developing a list of Org Scholars and Scholarship. Let me know if you would like to be added!!! @aomconnect.bsky.social @aomsim.bsky.social @orgscience.bsky.social @orgstudies.bsky.social @orgtheory.bsky.social @conflictmanagement.bsky.social
January 30, 2025 at 6:47 PM
Reposted by Lamar Pierce
In a new paper at OrgSci, we find gendered responses to expressions of passion—a commonly used criterion in evaluating potential—both penalizes women and advantages (unexceptional) men in high-potential selection 1/8 w/ Joyce He (UCLA) & Celia Moore (Imperial)

pubsonline.informs.org/doi/abs/10.1...
January 6, 2025 at 3:16 PM
In competition for shortest title, does this one by David Card, @jrothst.bsky.social , & Moises Yi count as one-word? BTW: An early Berkeley grad school memory was hearing Jesse debate our micro professor & realizing that, like in music, I would not be on the right tail of the econ theory curve.
AEAweb Journal Articles Display
Location, Location, Location by David Card, Jesse Rothstein and Moises Yi. Published in volume 17, issue 1, pages 297-336 of American Economic Journal: Applied Economics, January 2025, Abstract: We us...
www.aeaweb.org
December 31, 2024 at 2:14 PM
Working at my sabbatical office in Coma Cafe, the students beside me appear to have deployed Snorlax in their online team battle, then returned to quizzing one another on organic chemistry. The kids are alright, at least in the opinion of this old guy.
December 16, 2024 at 4:15 PM
Reposted by Lamar Pierce
With the end of the year, we'll close submissions from Dec 23 to Jan 2. You can still access ScholarOne if you want; you just cannot flood @lamarpierce.bsky.social's inbox w/ submissions. See our Substack for details, cat photos, & music references. Thanks to all for your contributions this year!
It's the End of the Year as We Know It. . .
Get your submissions in within the next week. . . please!
orgsci.substack.com
December 16, 2024 at 2:22 PM
AMD published an interesting editorial presenting complementary AOM journals as a "value cycle"--almost a model of knowledge production and application. Many good thoughts in here, and I agree with the general principle. As always, I have many thoughts, if I don't screw this thread up again. (1/1)
From a Portfolio of Journals to a System of Knowledge Production | Academy of Management Discoveries
Can't sign in? Forgot your password?
journals.aom.org
December 12, 2024 at 6:06 PM
This terrible barrier is made even worse because the alternative of having a male coauthor can reduce the credit that non-male authors receive. We need to analyze whether is true in management journals and conferences too. @orgscience.bsky.social
December 11, 2024 at 12:31 AM
Reposted by Lamar Pierce
Americans are now one-third less likely to die from cancer at the same ages as Americans in 1990
December 9, 2024 at 10:02 AM
Nice to see Social Issues in Management Division of Academy of Management here: @aomsim.bsky.social. Hopefully the broader AOM org and its journals will join soon. My own attempts at motivating this have been. . . well. . . about as successful as my attempts to publish in a top-5 economics journal.
December 3, 2024 at 3:02 AM
This 1952 AJS Donald Roy paper was what first excited me about ethnography. I assign it to PhD students w/classic org econ theory. I've always wanted to ask Bob Gibbons, Baker, Holmstrom, Milgrom, Roberts, ect. if they had read this. Ethnography is a wellspring of theory & policy. #orgsky #econsky
Quota Restriction and Goldbricking in a Machine Shop on JSTOR
Donald Roy, Quota Restriction and Goldbricking in a Machine Shop, American Journal of Sociology, Vol. 57, No. 5, The Sociological Study of Work (Mar., 1952), pp. 427-442
www.jstor.org
December 2, 2024 at 4:15 PM
My long-time plumber is replacing the toilets with his 16-year-old nephew learning the trade. My immediate thought was that this is a career with good prospects. Hard to replace with AI or robotics, requires years of training, and has high willingness-to-pay. Tough, important, & well-paid work.
November 27, 2024 at 3:16 PM
#Orgsky friends: This is a great example from economics of why org scholars should study the public sector. Consider the welfare impact of better government orgs in development settings. @orgscience.bsky.social hopes to see papers on questions like this from a diverse set of fields/disciplines.
When it comes to local governance, smaller is sometimes better, say researchers at NYU Abu Dhabi and USC. They show that Indian villages with smaller local governments provide better public services, such as education and sanitation. #econsky www.aeaweb.org/research/cha...
The optimal size of local governments
How the allocation of villages to government units in India affects the delivery of public services.
www.aeaweb.org
November 27, 2024 at 1:30 PM
Reposted by Lamar Pierce
Another great resource for our community. If you want to be on the list, reach out to @jocelynl.bsky.social to be added. Thanks Jocelyn for doing our community a great service.
Women of Organizational Behavior! I found it useful for finding intriguing new scholars and others I have long admired including @drbobbithomason.bsky.social and my wonderful friend and department chair @phinds.bsky.social
go.bsky.app/UmYWgUw
November 26, 2024 at 8:33 PM
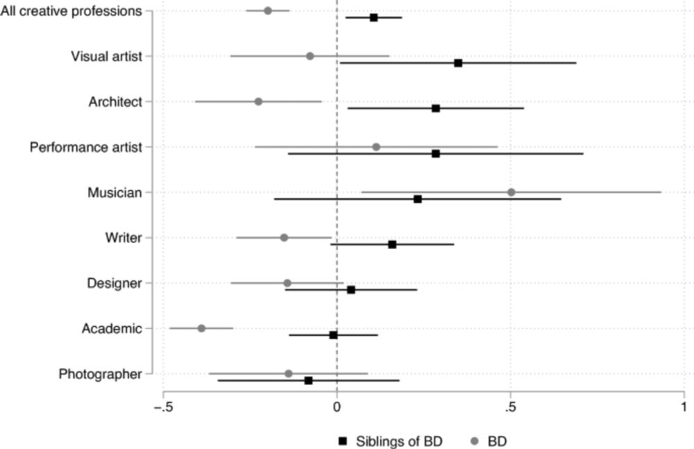
I've been following this mental health work by @barbarabiasi.bsky.social, Michael Dahl, and @pmoser.bsky.social for awhile. Great to see the first paper out! #Orgsky peeps: there's a lot here for you: creativity, job choices, mental health, and social standing/resources.
The role of bipolar disorder and family wealth in choosing creative occupations - Scientific Reports
Scientific Reports - The role of bipolar disorder and family wealth in choosing creative occupations
www.nature.com
November 26, 2024 at 10:19 PM