Tech/Science/Health/Environment information junkie, scuba Divemaster and travel enthusiast. Atheist/Humanist. Here for pleasant company since X's descent into Dante's deeper circles of hell #FBPE 🗿七七
pmc.ncbi.nlm.nih.gov/articles/PMC...
Climate scientists that predicted this were/are discounted and even mocked by more conservative scientists, but the next few years will show (I think) that their warnings were justified
Our climate is in a much more dangerous state than main stream climate scientists are willing to acknowledge.
Important:
Also available on Substack: jimehansen.substack.com/p/warning-th...
Climate scientists that predicted this were/are discounted and even mocked by more conservative scientists, but the next few years will show (I think) that their warnings were justified
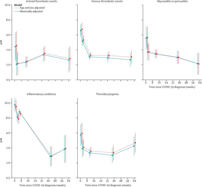
In children and young people...the risk following vaccination is substantially lower than the risk following infection.
www.thelancet.com/journals/lan...
In children and young people...the risk following vaccination is substantially lower than the risk following infection.
www.thelancet.com/journals/lan...
Ocean acidification anyone?
Ocean acidification anyone?
But hey, we're alright unless it affects the skiing season, right?
#climate
www.euronews.com/green/2025/1...
But hey, we're alright unless it affects the skiing season, right?
#climate
www.euronews.com/green/2025/1...
I might be tempted to think the quick look at Reform's poll performance might have overlooked that it might be due to many of the Russian bots on social media being repurposed currently
* Reeves skewers Farage with unexpected finesse
* Brexit chickens come home to roost
* Some in Labour still terrified of a customs union debate
Pecksniff's Diary
eastangliabylines.co.uk/pecksniff/pe...
I might be tempted to think the quick look at Reform's poll performance might have overlooked that it might be due to many of the Russian bots on social media being repurposed currently
#climate
www.quantamagazine.org/how-earths-c...
#climate
www.quantamagazine.org/how-earths-c...
Trouble is, they've invested so much in the antivax movement you can't convince them with facts. To accept they're wrong would be a step too far for their egos
Trouble is, they've invested so much in the antivax movement you can't convince them with facts. To accept they're wrong would be a step too far for their egos
Tell me again how they're protected?
share.google/dZfNuOIn5LOu...
Tell me again how they're protected?
#climate
Sea level doesn’t rise at the same rate everywhere – we mapped where Antarctica’s ice melt would have the biggest impact share.google/CLZ1xM8pG9MU...
#climate
Sea level doesn’t rise at the same rate everywhere – we mapped where Antarctica’s ice melt would have the biggest impact share.google/CLZ1xM8pG9MU...
They knew and didn't care. Worse, they paid people to hide the truth.
#climate
Assessing ExxonMobil’s global warming projections | Science share.google/WCYwwday4eCA...
They knew and didn't care. Worse, they paid people to hide the truth.
#climate
Assessing ExxonMobil’s global warming projections | Science share.google/WCYwwday4eCA...
I'm an equal opportunity blasphemer - I blaspheme against all religions. I'd burn a bible just as easily as a quran
You could point out that being upset on behalf of a god means you claim to know what the god is thinking, such hubris
@humanists.uk
www.spectator.co.uk/article/the-...
I'm an equal opportunity blasphemer - I blaspheme against all religions. I'd burn a bible just as easily as a quran
You could point out that being upset on behalf of a god means you claim to know what the god is thinking, such hubris
@humanists.uk
www.spectator.co.uk/article/the-...
Also available on Substack: jimehansen.substack.com/p/warning-th...
Also available on Substack: jimehansen.substack.com/p/warning-th...
Experts Call For Urgent Action on Ultra-Processed Foods After Landmark Review : ScienceAlert share.google/iiUKae3K5bLZ...
Experts Call For Urgent Action on Ultra-Processed Foods After Landmark Review : ScienceAlert share.google/iiUKae3K5bLZ...
The sea levels will rise, the coastal erosion will accelerate, extreme weather will batter the farmers fields and extreme temperatures will wilt the crops.
Apart from that, we're fine....
@owensennitt.bsky.social
The sea levels will rise, the coastal erosion will accelerate, extreme weather will batter the farmers fields and extreme temperatures will wilt the crops.
Apart from that, we're fine....
bylinetimes.com/2023/01/19/l...